✨ Prom 2026! ✨
We are currently accepting donations to add to “Kokom’s Closet.” If you have prom attire you would like to donate, we would greatly appreciate it!
“Kokom’s Closet” will provide an area where students can borrow donated dresses and formal attire to wear for prom, helping ensure every student has the opportunity to feel confident and prepared for this special event.
If you would like to donate, please contact:
Marquieta Jilot
📧 mjilot@boxelder.k12.mt.us
📞 406-352-4195
Thank you for supporting our students! 💙
We are currently accepting donations to add to “Kokom’s Closet.” If you have prom attire you would like to donate, we would greatly appreciate it!
“Kokom’s Closet” will provide an area where students can borrow donated dresses and formal attire to wear for prom, helping ensure every student has the opportunity to feel confident and prepared for this special event.
If you would like to donate, please contact:
Marquieta Jilot
📧 mjilot@boxelder.k12.mt.us
📞 406-352-4195
Thank you for supporting our students! 💙

***Attention all Bear Basketball Fans***
🐻💙🏀💛🐻💙🏀💛
Box Elder Elem. Basketball @ Gilford
March 14, 2026
Boys Departure @ 8:30am
Girls A Game Time @10:00am
Boys A Game Time @ 11:00am
Girls B Game Time @ 12:00pm
Boys Game Time @ 1:00pm
Thank you,
AD Ojeda
SAVE THE DATE!

Congrats to our 3rd-6th grade 1st semester Honor Roll students.


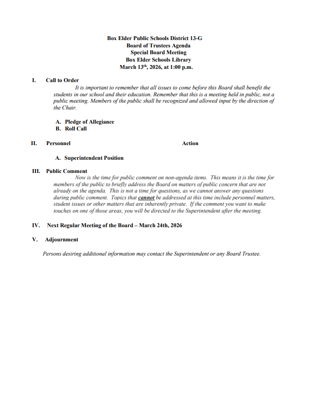
Special Board Meeting March 13th, 2026 1:00pm

📢 Community Invitation!
Come meet the candidates for our next Superintendent! Join us for a Meet & Greet Lunch where community members, parents, and staff can connect, ask questions, and get to know the individuals interested in leading our district.
🍽 Lunch will be provided
🤝 Meet the candidates
💬 Share your voice in the future of our schools
We encourage everyone in the community to stop by and be part of the conversation!
March 10, 2026
12:30 pm-1:15 pm
Box Elder School Cafeteria
We hope to see you there!
Come meet the candidates for our next Superintendent! Join us for a Meet & Greet Lunch where community members, parents, and staff can connect, ask questions, and get to know the individuals interested in leading our district.
🍽 Lunch will be provided
🤝 Meet the candidates
💬 Share your voice in the future of our schools
We encourage everyone in the community to stop by and be part of the conversation!
March 10, 2026
12:30 pm-1:15 pm
Box Elder School Cafeteria
We hope to see you there!
*New Job Posting*

📢 Community Invitation!
Come meet the candidates for our next Superintendent! Join us for a Meet & Greet Lunch where community members, parents, and staff can connect, ask questions, and get to know the individuals interested in leading our district.
🍽 Lunch will be provided
🤝 Meet the candidates
💬 Share your voice in the future of our schools
We encourage everyone in the community to stop by and be part of the conversation!
March 10, 2026
12:30 pm-1:15 pm
Box Elder School Cafeteria
We hope to see you there!
Come meet the candidates for our next Superintendent! Join us for a Meet & Greet Lunch where community members, parents, and staff can connect, ask questions, and get to know the individuals interested in leading our district.
🍽 Lunch will be provided
🤝 Meet the candidates
💬 Share your voice in the future of our schools
We encourage everyone in the community to stop by and be part of the conversation!
March 10, 2026
12:30 pm-1:15 pm
Box Elder School Cafeteria
We hope to see you there!
Special Board Meeting March 10th, 2026

PUBLIC NOTICE
2026 Election Mail Ballot Written Plan and Timetable
2026 Election Mail Ballot Written Plan and Timetable


Way to go Bears!


January and February 2026 Perfect Attendance Awards. These students did not miss one day of school (school related, cultural, and bereavement are not counted against any student), nor were they tardy for any classes. Join us in congratulating these young individuals.






ATTENTION Parents and Guardians:
We are seeing an increase in correspondence being returned to the school due to incorrect or outdated contact information. It is extremely important that we have accurate and current contact information for all families, especially in the event of an emergency.
Please take a moment to ensure your phone numbers, mailing address, and email address are up to date in our system. If any changes need to be made, contact the school office as soon as possible. The Jr High/High School front office is 406-352-4195. The Elementary office is 406-352-3222.
Thank you for helping us keep your child safe and informed.
We are seeing an increase in correspondence being returned to the school due to incorrect or outdated contact information. It is extremely important that we have accurate and current contact information for all families, especially in the event of an emergency.
Please take a moment to ensure your phone numbers, mailing address, and email address are up to date in our system. If any changes need to be made, contact the school office as soon as possible. The Jr High/High School front office is 406-352-4195. The Elementary office is 406-352-3222.
Thank you for helping us keep your child safe and informed.
Elem. Basketball Saturday
March 7, 2026 @ Home in the Den.
10:00am
Girls A vs. Big Sandy
11:00am
Boys A vs. Big Sandy
12:00pm
Boys B vs. Turner
1:00pm
Girls B vs. Big Sandy
Thank you,
AD Ojeda
Thank you,
AD Dorrina Ojeda
Prom time is coming!!!!

***ATTENTION ALL BOX ELDER PARENTS AND GUARDIANS***
Just a friendly reminder that today from 4:30pm to 7:30pm we are having our Spring Parent Teacher Conferences!
Just a friendly reminder that today from 4:30pm to 7:30pm we are having our Spring Parent Teacher Conferences!

Attention Parents and Guardians. School will be released at 1:30 pm TODAY! Please make sure that someone is home for your child. We hope to see you all in Great Falls to cheer on our Bears 💙🐻💛

March 2026 Menu

***Attention all Bear Basketball Fans***
🐻💙🏀💛🐻💙🏀💛
Challenge Game @ Pacific Steel and Recycling Arena
March 2, 2026
Boys Departure @ 1:15 pm
Game Time @4:00pm
Game Prices:
$7 Adults
$5 Students
Thank you,
AD Ojeda
1st semester Jr High and High School Honor Roll

